一、挤压式涂布类型
关于挤压涂布我明确为通过流体通过挤压经由有特殊流道的涂布头涂覆在运动的基材上。。。整个系统如下图所示。。。


狭缝式挤压涂布原理先容
狭缝式挤压涂布的流动漫衍二维示意图如下:图片来自于Prof. Marcio 的一篇文章《Fundamentals of Slot Coating Process 》

决议涂布质量的因素主要包括:涂布头与基带的间隙、流量、基材速率、涂布头结构、流体特征等。。。
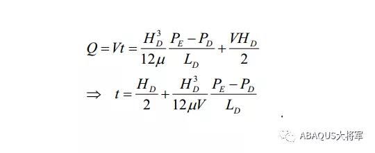
凭证平行板间艾库特流(可参阅上海交通大学工程力学教学基地查找流体力学教学资源举行深入相识)与Prof. Marcio 的润滑近似模子,,,,可得厚度 t 公式如下:

可知涂布厚度与涂布头与基带的间隙、流体粘度、基材速率、涂布头唇口尺寸、流体及外部压力有关。。。由公式可知,,,,涂布头与基带的间隙为机械配合、流体粘度跟来料浆料有关、基材速率为电机控制、涂布头唇口尺寸由涂布头决议,,,,以上因素较量容易包管一致,,,,影响涂布质量厚度匀称性就突出体现在流体及外部压力,,,,外部压力一样平常为室内常压,,,,则涂布头唇口内及出口处的压力匀称性就显得异常主要。。。涂布头唇口内及出口压力漫衍匀称性与供料系统稳固性和涂布头结构有很大的关系。。。
挤压式涂布头结构先容
涂布头结构着实较量简朴,,,,主要包括上模、下模、垫片三部分。。。下膜有特殊的型腔(例如梯度式、衣架式、单腔式和双腔式等),,,,上模相对较量简朴,,,,垫片位于上下模之间可凭证差别的涂布形式举行选择(例如斑马线、全涂等)。。。下图为三菱的一款涂布头模具。。。


二,,,,浆料特征篇
一、浆料组成
锂离子动力电池浆料基本上由活性物质、导电剂、粘结剂、溶剂组成,,,,一样平常组成如下图所示

二、浆料特征
浆料作为涂布工序的来料,,,,其特征直接影响涂布质量。。。通过浆料组成我们可以知道浆料属于固液两相流体。。。生产上对浆料质量控制点主要有粘度、固含量、密度、细度和PH值。。。浆料的匀称一致性关于涂布工艺环节至关主要,,,,磨练浆料匀称一致性可通过检测差别区域浆料的质量控制点获取。。。
由于浆料粘度受温度、搅拌速率、沉降时间等有关,,,,凭证牛顿流体与非牛顿流体界说,,,,我们把浆料归为非牛顿流体。。。浆料在搅拌相对匀称后,,,,随着搅拌时间的增添,,,,浆料粘度逐渐降低,,,,最后趋于一个稳固值。。。凭证相关文献,,,,锂离子电池浆料在配比、均质状态下,,,,保存随着剪切率增添粘度减小的展现,,,,即剪切稀释征象。。。综上,,,,我们将锂离子电池浆料归结为有剪切稀释征象的非牛顿流体。。。由于浆料凭证质料差别、配比差别、匀浆情形差别,,,,在差别条件下,,,,浆料的流体特征保存着转变,,,,本文只针对普遍和相对均一条件下的浆料流体特征举行先容。。。
密度ρ:锂电池浆料密度一样平常在1400~2000kg/m?
粘度μ:锂电池浆料凭证差别工艺条件粘度一样平常控制在1~10Pa·s
在以上基础上,,,,我们已经知道涂布头的结构,,,,由于本文主要体贴涂布模头內流场状态,,,,本文只建设流道液体模子。。。
用户可通过第三方3D软件举行建模,,,,然后导出stp或者x_t通用名堂,,,,然后通过import Assembly,,,,将浆料流体的几何模子导入。。。
旗下分子公司官网
中国区
安诚能科外洋区
欧洲6163银河官方网站